Beyond H\(_2^+\) and LCAO

Author

Daniel Fischer

Introduction

Building on the fundamental ideas of the H\(_2^+\) molecular ion, this chapter extends the discussion of molecular structure and bonding to more complex diatomic systems. While H\(_2^+\) revealed how molecular orbitals (MOs) arise from the superposition of atomic orbitals, real molecules exhibit additional layers of complexity — including electron–electron interactions, multiple bonding mechanisms, and state symmetries.

In these systems, each molecule can be described by a set of potential energy curves \(E_i(R)\) that depend on the internuclear distance \(R\). These curves encode the stability and possible electronic states of the molecule, linking microscopic wavefunctions to macroscopic observables such as bond lengths, dissociation energies, and spectroscopic transitions.

Goals of this Chapter

By the end of this chapter, you should be able to:

  1. Interpret potential energy curves for diatomic molecules and relate them to different electronic states.
  2. Understand the naming conventions and term symbols used to classify molecular states (e.g., \(^{2S+1}\Lambda_\Omega^{(\pm)}\) (g/u)).
  3. Describe how angular momentum and spin coupling determine the structure of molecular terms.
  4. Recognize the role of symmetry — reflection and inversion — in labeling diatomic molecular states.
  5. Distinguish among the main types of chemical bonds (covalent, ionic, and van-der-Waals) as limiting cases of molecular interaction.
  6. Connect the quantum-mechanical description of molecules with their chemical and spectroscopic behavior.

This chapter bridges quantum mechanics and chemical intuition, emphasizing how abstract quantum numbers translate into measurable physical and chemical properties.


1. The Hydrogen Molecule (H\(_2\))

The hydrogen molecule represents the simplest example of a two-electron system that can form a chemical bond. Despite its simplicity, it already shows the limitations of the molecular orbital (MO) approach and motivates the need for more sophisticated descriptions.


1.1 Linear Combination of Atomic Orbitals: The MO Approximation for H\(_2\)

The LCAO–MO approximation provides a simple way to describe bonding in the hydrogen molecule by constructing delocalized molecular orbitals from atomic \(1s\) orbitals. In the molecular orbital (MO) approximation, we construct orbitals for the entire molecule as linear combinations of atomic orbitals (LCAO).

For the hydrogen ground state, we take the \(1s\) atomic orbitals \(\phi_\text{A}\) and \(\phi_\text{B}\) centered on nuclei A and B, respectively, and form a molecular orbital as

\[ \phi_s = c_A \, \phi_\text{A} + c_B \, \phi_\text{B} . \]

The two-electron wavefunction is approximated as a product of identical one-electron molecular orbitals:

\[ \Phi^{\text{MO}}(1,2) = \phi_s(1) \, \phi_s(2) \]

Expanding this in terms of atomic orbitals gives

\[ \Phi^{\text{MO}}(1,2) = \frac{1}{2 + 2 S_{AB}} \left[ \big(\phi_A(1) + \phi_B(1)\big) \big(\phi_A(2) + \phi_B(2)\big) \right] \]

Here, the indices (1) and (2) denote electron labels.
Because electrons are fermions, the total wavefunction must be antisymmetric under particle exchange.
Since the spatial part \(\Phi^{\text{MO}}(1,2)\) is symmetric, the spin part must be antisymmetric — forming a singlet state.

The total two-electron wavefunction is the product of a spatial and a spin part: \[ \Psi(1,2) = \Phi(1,2)\, \chi(1,2) \] If \(\Phi(1,2)\) is symmetric under exchange, then \(\chi(1,2)\) must be antisymmetric (singlet).
Conversely, a triplet spin function requires an antisymmetric spatial wavefunction.

Energy of the H\(_2\) Molecule

The electronic energy is evaluated using the Hamiltonian

\[ \hat{H} = -\frac{\hbar^2}{2m}(\nabla_1^2 + \nabla_2^2) + \frac{e^2}{4\pi \varepsilon_0} \left( -\frac{1}{r_{A1}} - \frac{1}{r_{B1}} -\frac{1}{r_{A2}} - \frac{1}{r_{B2}} + \frac{1}{r_{12}} + \frac{1}{R} \right) \]

where \(R = r_{AB}\) is the internuclear distance and \(r_{ij}\) denotes the distance between any two particles (i, j = A, B, 1, 2).

Code
import matplotlib.pyplot as plt
import numpy as np

plt.rcParams['text.usetex'] = True
plt.rcParams['font.family'] = 'serif'
plt.rcParams['font.size'] = 12



# Set up the figure and axes
fig, ax = plt.subplots(figsize=(7, 5))
ax.set_aspect('equal', adjustable='box')
ax.set_xlim(-1, 5)
ax.set_ylim(-1, 5)
ax.axis('off')

# Define points
A = np.array([0, 0])
B = np.array([4, 0])
e_minus1 = np.array([3.5, 3.5])
e_minus2 = np.array([-0.2, 2.8])
S = np.array([2, 0])

# Draw particles and labels
ax.plot(A[0], A[1], 'o', color='red', markersize=15, zorder=1)
ax.text(A[0] - 0.2, A[1] + 0.2, 'A', ha='right', va='bottom', fontsize=12)
#ax.text(A[0] - 0.2, A[1] - 0.2, '$e^+$', ha='right', va='top', fontsize=12)

ax.plot(B[0], B[1], 'o', color='red', markersize=15, zorder=1)
ax.text(B[0] + 0.2, B[1] + 0.2, 'B', ha='left', va='bottom', fontsize=12)
#ax.text(B[0] + 0.2, B[1] - 0.3, '$e^+$', ha='left', va='top', fontsize=12)

ax.plot(e_minus1[0], e_minus1[1], 'o', color='green', markersize=10, zorder=1)
ax.text(e_minus1[0] + 0.2, e_minus1[1]+0.2, '$e^{-}_1$', ha='left', va='center', fontsize=12)
ax.plot(e_minus2[0], e_minus2[1], 'o', color='green', markersize=10, zorder=1)
ax.text(e_minus2[0] - 0.1, e_minus2[1]+0.3, '$e^{-}_2$', ha='left', va='center', fontsize=12)

ax.plot(S[0], S[1], 'x', color='black', markersize=10, zorder=2)
ax.text(S[0], S[1] - 0.2, 'O', ha='center', va='top', fontsize=12)

# Draw lines and arrows
#ax.plot([A[0], B[0]], [A[1], B[1]], 'k-', zorder=1)
#ax.plot([A[0], e_minus1[0]], [A[1], e_minus1[1]], 'k-', zorder=1)
#ax.plot([B[0], e_minus1[0]], [B[1], e_minus1[1]], 'k-', zorder=1)
#ax.plot([A[0], e_minus2[0]], [A[1], e_minus2[1]], 'k-', zorder=1)
#ax.plot([B[0], e_minus2[0]], [B[1], e_minus2[1]], 'k-', zorder=1)
#ax.plot([S[0], e_minus1[0]], [S[1], e_minus1[1]], 'k-', zorder=1)
#ax.plot([B[0], B[0]], [B[1], e_minus1[1]], 'k', linestyle=':', zorder=1)

# Annotate vectors with arrows and text
# R_A vector
ax.annotate('', xy=(S[0], S[1]), xytext=(A[0], A[1]),
            arrowprops={'arrowstyle': '<-', 'lw': 1.5, 'color': 'black', 'shrinkA': 0, 'shrinkB': 0}, zorder=3)
ax.text(1, -0.2, r'$\vec{R}_A$', ha='center', va='top', fontsize=12)

# R_B vector
ax.annotate('', xy=(B[0], B[1]), xytext=(S[0], S[1]),
            arrowprops={'arrowstyle': '->', 'lw': 1.5, 'color': 'black', 'shrinkA': 0, 'shrinkB': 0}, zorder=3)
ax.text(3, -0.2, r'$\vec{R}_B$', ha='center', va='top', fontsize=12)

# R vector
ax.annotate('', xy=(A[0], A[1] - 0.7), xytext=(B[0], B[1] - 0.7),
            arrowprops={'arrowstyle': '<->', 'lw': 1.5, 'color': 'black', 'shrinkA': 0, 'shrinkB': 0}, zorder=1)
ax.text(2, -0.9, r'$\vec{R}$', ha='center', va='top', fontsize=12)

# r_A1 vector
ax.annotate('', xy=(e_minus1[0], e_minus1[1]), xytext=(A[0], A[1]),
            arrowprops={'arrowstyle': '->', 'lw': 1.5, 'color': 'black', 'shrinkA': 0, 'shrinkB': 0}, zorder=1)
ax.text(2.1, 2.4, r'$\vec{r}_{A1}$', ha='center', va='bottom', fontsize=12)

# r_B1 vector
ax.annotate('', xy=(e_minus1[0], e_minus1[1]), xytext=(B[0], B[1]),
            arrowprops={'arrowstyle': '->', 'lw': 1.5, 'color': 'black', 'shrinkA': 0, 'shrinkB': 0}, zorder=1)
ax.text(4, 1.7, r'$\vec{r}_{B1}$', ha='center', va='bottom', fontsize=12)

# r_A2 vector
ax.annotate('', xy=(e_minus2[0], e_minus2[1]), xytext=(A[0], A[1]),
            arrowprops={'arrowstyle': '->', 'lw': 1.5, 'color': 'black', 'shrinkA': 0, 'shrinkB': 0}, zorder=1)
ax.text(-0.4, 1.7, r'$\vec{r}_{A2}$', ha='center', va='bottom', fontsize=12)


# r_B2 vector
ax.annotate('', xy=(e_minus2[0], e_minus2[1]), xytext=(B[0], B[1]),
            arrowprops={'arrowstyle': '->', 'lw': 1.5, 'color': 'black', 'shrinkA': 0, 'shrinkB': 0}, zorder=1)
ax.text(0.9, 2.3, r'$\vec{r}_{B2}$', ha='center', va='bottom', fontsize=12)

# r12 vector
ax.annotate('', xy=(e_minus2[0], e_minus2[1]), xytext=(e_minus1[0], e_minus1[1]),
            arrowprops={'arrowstyle': '->', 'lw': 1.5, 'color': 'black', 'shrinkA': 0, 'shrinkB': 0}, zorder=1)
ax.text(1.8, 3.3, r'$\vec{r}_{12}$', ha='center', va='bottom', fontsize=12)

# Show the plot
plt.show()

Geometry of the neutral H$_2$ molecule.

We write the full (electronic) Hamiltonian for fixed nuclei separated by \(R\) as

\[ \hat H = \hat h(1) + \hat h(2) + \frac{e^2}{4\pi\varepsilon_0}\frac{1}{r_{12}} + \frac{e^2}{4\pi\varepsilon_0}\frac{1}{R}, \]

The one-electron operator \(\hat h(i)\) corresponds to the Hamiltonian of the H\(_2^+\) molecular ion (excluding nuclear repulsion)

\[ \hat h(i) = -\frac{\hbar^2}{2m}\nabla_i^2 -\frac{e^2}{4\pi\varepsilon_0}\frac{1}{r_{A i}}-\frac{e^2}{4\pi\varepsilon_0}\frac{1}{r_{B i}}, \]

while the final two terms account for electron–electron and nuclear–nuclear repulsion. The nuclear term, \(+1/R\), is constant for a fixed \(R\) and must be included explicitly, since it is not contained in the one-electron Hamiltonians \(\hat h(i)\).

The total energy expectation value can be expressed as

\[ E(R) = \langle \Phi^{\text{MO}} | \hat{H} | \Phi^{\text{MO}} \rangle . \]

For the \(1s\) MO product (opposite spins), the total electronic energy is

\[ E(R) = \langle \Phi^{\text{MO}}|\hat h(1)+\hat h(2)+\frac{e^2}{4\pi\varepsilon_0}\tfrac{1}{r_{12}}|\Phi^{\text{MO}}\rangle + \frac{e^2}{4\pi\varepsilon_0}\frac{1}{R}. \]

Since the spatial wavefunction factorizes into identical one-electron orbitals, the total energy simplifies to

\[ E(R) = 2\langle \hat h \rangle \;+\; \frac{e^2}{4\pi\varepsilon_0}\langle \frac{1}{r_{12}}\rangle + \frac{e^2}{4\pi\varepsilon_0}\frac{1}{R}, \]

with the expected energy of the H\(_2^+\) molecular ion

\[ \langle \hat h \rangle = \langle \phi_s | \hat{h} | \phi_s \rangle \]

and the Coulomb repulsion between the two electron densities

\[ \langle \frac{1}{r_{12}}\rangle = \iint \frac{|\phi_s(1)|^2\,|\phi_s(2)|^2}{r_{12}}\,d^3r_1\,d^3r_2. \tag{1}\]

(There is no exchange term subtracted here because the two electrons occupy the same spatial orbital but have opposite spins; the exchange contribution cancels in the singlet product.)

While the MO approximation captures the qualitative existence of a bond, its quantitative accuracy is limited. In particular, as we shall see next, it fails to reproduce the correct dissociation behavior of H\(_2\).


1.2 Incorrect Dissociation Limit: Where the MO Approximation Breaks Down

Expanding the two-electron Coulomb term (Equation 1) for \(\Phi\) expressed as a sum of atomic orbitals produces three distinct types of contributions:

  • Neutral (covalent) contributions such as \(|\phi_A(1)|^2\,|\phi_B(2)|^2\) and \(|\phi_B(1)|^2\,|\phi_A(2)|^2\), describing one electron near each nucleus,
  • Ionic contributions such as \(|\phi_A(1)|^2\,|\phi_A(2)|^2\) and \(|\phi_B(1)|^2\,|\phi_B(2)|^2\), describing both electrons on the same nucleus, and
  • Cross / overlap terms involving products like \(\phi_A(1)\phi_B(1)\,\phi_A(2)\phi_B(2)\).

Crucially, the MO product ansatz contains ionic terms with nonzero weight because of the \(\phi_A+\phi_B\) form. Concretely, after expansion

\[ |\phi_s(1)|^2|\phi_s(2)|^2 \; = \; \frac{1}{4(1+S_{AB})^2}\Big( \cdots + |\phi_A(1)|^2\,|\phi_A(2)|^2 + |\phi_B(1)|^2\,|\phi_B(2)|^2 + \cdots \Big), \]

so the Coulomb integral contains contributions that represent the energy of configurations where both electrons sit on nucleus A or both on B (ionic configurations). These ionic contributions lower the energy at moderate \(R\) (they allow additional electrostatic stabilization), but they also imply that the MO ansatz does not project purely onto the neutral dissociation channel \(H + H\).

Consider the limit \(R\to\infty\). Physically, the exact wavefunction for H\(_2\) should dissociate into two neutral hydrogen atoms H(\(1s\)):

\[ \Phi_{\text{exact}}(R\to\infty)\;\longrightarrow\; \phi_A(1)\phi_B(2)\quad\text{(or the exchange)} \]

and the energy should tend to \(2E_H = 2(-0.5\ \text{Hartree}) = -1.0\ \text{Hartree}\) (plus vanishing interaction terms).

But the MO product expanded into AO products contains the ionic pieces \(\phi_A\phi_A\) and \(\phi_B\phi_B\) with nonzero coefficients. At large \(R\) the covalent cross terms vanish, while the ionic terms survive (because coefficients do not vanish). Therefore the MO energy tends to an average that includes contributions from ionic configurations (effectively giving some weight to \(H^-\)–like arrangements).

Consequently, the MO product does not approach the correct separated-atom limit as \(R \to \infty\). The resulting energy includes spurious contributions from ionic configurations, leading to an incorrect asymptotic limit and an underestimated binding energy:

\[ E_b^{\text{(MO)}}(H_2) \approx -2.7\ \text{eV} \qquad \text{(experimental value:}\ -4.74\ \text{eV)} \]


1.3 The Heitler–London Approach

A more accurate description of the H\(_2\) molecule was developed by Heitler and London (1927). Instead of assigning electrons to delocalized molecular orbitals, they considered explicitly that each electron is associated with one nucleus, leading to the two-electron wavefunction:

\[ \Phi^{\text{HL}}(1,2) = C \Big[ \phi_A(1)\phi_B(2) + \phi_A(2)\phi_B(1) \Big] \]

where \(C\) is a normalization constant,
\[ C = \frac{1}{\sqrt{2 + 2S_{AB}^2}}. \]

This form automatically respects exchange symmetry and correctly describes the situation at large separations: one electron near A, one near B.

The Heitler–London model yields a binding energy of about 3.14 eV, which is significantly closer to the experimental value. It improves upon the LCAO–MO result because it explicitly incorporates electron correlation—the electrons tend to avoid being on the same atom.


1.4 Improved Heitler–London (Ionic–Covalent Mixing) and Hylleraas-Type Wavefunction

The Heitler–London wavefunction successfully describes the dissociation of H\(_2\) by ensuring that each electron is primarily associated with a different nucleus. However, it neglects possible ionic configurations in which both electrons temporarily occupy the same nucleus (A or B). At smaller internuclear separations, these ionic contributions can provide additional stabilization due to electrostatic attraction.

To capture this effect, the wavefunction can be generalized to include a controlled amount of ionic–covalent mixing through a variational parameter \(\lambda\):

\[ \Psi(\mathbf r_1,\mathbf r_2) = c_3 \Big\{ \phi_A(1)\phi_B(2) + \phi_A(2)\phi_B(1) + \lambda\,[\,\phi_A(1)\phi_A(2) + \phi_B(1)\phi_B(2)\,] \Big\}, \]

where
- \(\phi_A\) and \(\phi_B\) are the \(1s\) atomic orbitals centered on nuclei A and B, respectively,
- \(c_3\) ensures proper normalization, and
- \(\lambda = \lambda(R)\) is a variational parameter that depends on the internuclear separation \(R\).

When \(\lambda = 0\), the expression reduces to the Heitler–London form, while \(\lambda > 0\) introduces a fraction of ionic character. This wavefunction smoothly interpolates between the two limiting cases:
- Heitler–London limit (\(\lambda = 0\)): purely covalent, correct dissociation limit.
- Molecular orbital limit (\(\lambda = 1\)): symmetric combination, equal weight of covalent and ionic terms.

This functional form is sometimes referred to as a Hylleraas-type wavefunction, since Hylleraas later introduced similar parameterized extensions of the Heitler–London model to account for electron correlation and configuration mixing. Although Hylleraas is best known for his correlated hydrogen-like wavefunctions involving the interelectronic distance \(r_{12}\), the present form shares the same underlying idea — introducing variational flexibility through additional terms that reflect physical electron–electron interactions.

The total wavefunction can thus be viewed as a linear combination of covalent and ionic configurations:

\[ \Psi = c_{\text{cov}}\,\Phi_{\text{cov}} + c_{\text{ion}}\,\Phi_{\text{ion}}, \qquad \lambda = \frac{c_{\text{ion}}}{c_{\text{cov}}}. \]

The corresponding total energy expectation value is

\[ E(\lambda) = \frac{\langle \Psi(\lambda) | \hat{H} | \Psi(\lambda) \rangle} {\langle \Psi(\lambda) | \Psi(\lambda) \rangle} = \frac{E_{\text{cc}} + 2\lambda E_{\text{ci}} + \lambda^2 E_{\text{ii}}} {N_{\text{cc}} + 2\lambda N_{\text{ci}} + \lambda^2 N_{\text{ii}}}, \]

where
- \(E_{\text{cc}} = \langle \Phi_{\text{cov}}|\hat H|\Phi_{\text{cov}}\rangle\) is the covalent contribution,
- \(E_{\text{ii}} = \langle \Phi_{\text{ion}}|\hat H|\Phi_{\text{ion}}\rangle\) is the ionic contribution,
- \(E_{\text{ci}}\) describes covalent–ionic coupling, and
- \(N_{\text{cc}}, N_{\text{ii}}, N_{\text{ci}}\) are the corresponding overlap integrals.

Minimizing \(E(\lambda)\) with respect to \(\lambda\) gives the optimal mixing parameter:

\[ \frac{dE(\lambda)}{d\lambda} = 0, \]

which leads to a quadratic equation in \(\lambda\):

\[ (E_{\text{ci}} - E_{\text{cc}} N_{\text{ci}}) + \lambda (E_{\text{ii}} - E_{\text{cc}} N_{\text{ii}}) + \lambda^2 (E_{\text{ci}} N_{\text{ii}} - E_{\text{ii}} N_{\text{ci}}) = 0. \]

Solving this equation yields \(\lambda(R)\), the optimal ionic admixture at each internuclear distance.

The resulting potential energy curve provides a significantly improved fit to experimental data and illustrates how configuration interaction and electron correlation can be included in a conceptually simple way.

Code
import numpy as np
import matplotlib.pyplot as plt

# --- Functional Fits (Based on Known Theoretical Results) ---
# --- Set up plot styling ---
plt.rcParams['text.usetex'] = True
plt.rcParams['font.family'] = 'serif'
plt.rcParams['font.size'] = 12



def E_Exact_fit(R):
    """Kolos-Wolniewicz High-Precision Morse fit."""
    De = 0.1744
    Re = 1.400
    a = 1.05
    E_diss = -1.0
    return E_diss + De * (1 - np.exp(-a * (R - Re)))**2 - De + 1

def E_HL_standard(R):
    """Heitler-London (Standard zeta=1) Morse fit."""
    De = 0.1175
    Re = 1.64
    a = 1.08
    E_diss = -1.0
    return E_diss + De * (1 - np.exp(-a * (R - Re)))**2 - De + 1

def E_Weinbaum(R):
    """Extended Heitler-London (Weinbaum) Morse fit."""
    De = 0.147
    Re = 1.42
    a = 1.05
    E_diss = -1.0
    return E_diss + De * (1 - np.exp(-a * (R - Re)))**2 - De + 1

def E_LCAO_standard(R):
    """LCAO (Standard zeta=1) Fit, dissociates incorrectly to -0.764 a.u."""
    De = 0.096
    Re = 1.60
    a = 1.20
    # The theoretically incorrect average limit: (-1.0 + -0.528) / 2 = -0.764 a.u.
    E_diss_incorrect = -0.764 
    
    # Using a modified function to force the -0.764 a.u. asymptote
    return E_diss_incorrect + De * (1 - np.exp(-a * (R - Re)))**2 - De + 1

# --- Plotting Script ---
R_points = np.linspace(0.5, 6.0, 100)

E_Exact = E_Exact_fit(R_points) * 27.2
E_HL_std = E_HL_standard(R_points) * 27.2
E_Weinbaum = E_Weinbaum(R_points) * 27.2
E_LCAO_std = E_LCAO_standard(R_points) * 27.2

plt.figure(figsize=(7.5, 4))

# Plot the curves
plt.plot(R_points, E_LCAO_std, 'r:', linewidth=1.5, label='LCAO')
plt.plot(R_points, E_HL_std, 'b--', linewidth=2, label='Heitler--London')
plt.plot(R_points, E_Weinbaum, 'r--', linewidth=2, label='Hylleraas-type (Weinbaum)')
plt.plot(R_points, E_Exact, 'k-', linewidth=3, label='Exact (Kolos-Wolniewicz Fit)')

# Asymptote and Dissociation Limits
plt.axhline(0, color='gray', linestyle='-', lw=1)#, label='$2 \cdot E_{1s}$ Asymptote ($\text{H} + \text{H}$)')
# Incorrect LCAO average dissociation limit
plt.axhline((-0.764+1) * 27.2, color='red', linestyle=':', linewidth=0.8, alpha=0.5)#, label='LCAO Average Dissociation Limit') 

plt.plot([0,1.4],[-4.7,-4.7], 'k--', lw=0.5)
plt.plot([0,1.6],[-3.14,-3.14], 'k--', lw=0.5)
plt.text(-0.02, -4.7, r'$-4.7$', ha='right', va='center', fontsize=12)
plt.text(-0.02, -3.34, r'$-3.14$', ha='right', va='center', fontsize=12)

y_ticks = [-6, -4.7, -4, -3.14, -2, 0, 2, 4, 6, 8, 10, 12]
y_tick_labels = ['', '', '', '', '-2', '0', '2', '4', '6', '8', '10', '12']
plt.yticks(y_ticks, y_tick_labels)


plt.xlim(0.2, 4.0)
plt.ylim(-6, 12)
plt.xlabel('Internuclear Distance $R$ (a.u.)', fontsize=12)
plt.ylabel('Energy (eV)', fontsize=12)
plt.legend(fontsize=10, loc='upper right')
plt.grid(True, linestyle='-', alpha=0.3)
plt.show()

Conceptual schematic comparing the potential energy curves of H$_2$ calculated with different wavefunctions: LCAO–MO (least bound), Heitler–London (intermediate), and improved Hylleraas-type (closest to experimental curve).


1.5 Key Takeaways

  • The MO approach provides a simple qualitative understanding of bonding but fails at large separations.
  • The Heitler–London approach introduces electron correlation and gives more accurate energies.
  • Variational combinations of MO and HL functions can yield improved results for H\(_2\).

To extend this approach beyond H\(_2\), we now discuss how molecular orbitals are generally constructed and solved in quantum chemistry.


2. General Approach in Quantum Chemistry

The general goal of quantum chemistry is to approximate the molecular wave function and energy of a system using a manageable basis set and variational optimization. This transforms the Schrödinger equation from a complicated differential equation into a linear-algebra problem. The main steps can be summarized as follows:

  1. Choose a basis set of \(N\) wave functions \(\{\phi_i\}\).

  2. Construct the molecular wave function as a superposition of product states. For a two-electron system: \[ |\Phi(1,2)\rangle = \sum_{i,k=1}^{N} c_{ik}\, |\phi_i(1)\rangle\,|\phi_k(2)\rangle \] where \(c_{ik}\) are coefficients to be optimized.

  3. Optimize the coefficients \(c_{ik}\), ensuring the appropriate (anti-)symmetry of the wave function, to minimize the total energy according to the variational principle.

  4. Obtain molecular orbitals as linear combinations of the chosen basis functions.


2.1 Example: The Hydrogen Molecule (\(\mathrm{H_2}\))

When a basis set of \(N = 13\) atomic orbitals is used, the resulting binding energy is approximately

\[E_B = -4.69~\text{eV}.\]

Using a larger basis set of \(N = 50\) functions yields

\[E_B = -4.7467~\text{eV},\]

which is in excellent agreement with the experimental value

\[E_B^{\text{exp}} = -4.7470(3)~\text{eV}.\]


2.2 Task of Quantum Chemistry

The main task of quantum chemistry is to find an optimal basis set and calculate molecular energies using variational methods.

Atomic orbitals are generally not the most efficient basis, and alternative choices — such as Gaussian functions, Slater-type orbitals, or hybrid basis sets — are often more practical. The choice of basis functions relies on physical intuition, computational efficiency, and theoretical reasoning.


3. Naming Conventions for Diatomic Molecules

Having introduced how molecular orbitals are formed and combined, we now turn to how the resulting molecular states are classified and labeled according to their quantum numbers and symmetries.

The calculation of molecular orbitals (MOs) for diatomic molecules yields potential energy curves \(E_i(R)\), where \(R\) is the internuclear distance. Each curve corresponds to a particular electronic state, labeled by several characteristic quantum properties.

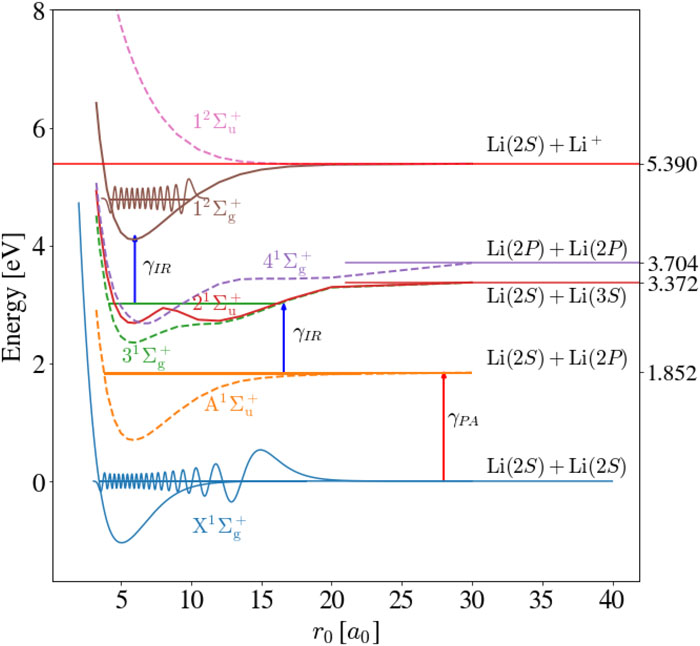
For example, the potential energy curves of Li\(_2\) display multiple such states, each with distinct symmetry and energy behavior.

Graph showing potential energy curves for lithium dimer (Li2) molecule. The x-axis represents internuclear distance and the y-axis shows energy. Multiple curves are plotted representing different electronic states, with the lowest curve being the ground state potential well. Higher energy curves show various excited states with different bonding and antibonding characteristics. The curves are labeled with their respective electronic state designations.

Potential energy curves for the Li₂ molecule. Reproduced from N. Kurz, D. Fischer, et al., “Reaction microscope for investigating ionization dynamics of weakly bound alkali dimers,” Review of Scientific Instruments 92, 123202 (2021), https://doi.org/10.1063/5.0069506, under a Creative Commons Attribution 4.0 International License (CC BY 4.0).

Each potential curve \(E_i(R)\) represents a distinct molecular electronic state. Different states are distinguished by several criteria:

  1. Energetic order — the relative energy of each potential curve \(E_i(R)\).
  2. Symmetry properties of the molecular wavefunction.
  3. Angular momentum and spin, and their projections along the internuclear axis.
  4. Atomic states into which the molecule dissociates as \(R \to \infty\).

In the following, we will examine these criteria in more detail.


3.1 Energy Ordering and Quantum Labels

Each electronic state \(E_i(R)\) can be labeled by an index \(i = (n, \ell, \Lambda, S)\), which specifies the corresponding quantum numbers.

For atoms, the principal quantum number \(n\) largely determines the energy order of electronic states. For molecules, however, this correspondence generally does not hold, since the energy ordering depends on both internuclear separation and molecular symmetry.

Traditionally, electronic states have been labeled based on spectroscopic notation:
- Singlet states: X, A, B, …
- Triplet states: a, b, c, …

The ground state is denoted by X.

Note: In some cases, excited states were discovered after this nomenclature was established.


3.2 Symmetry Properties

Symmetry plays a central role in molecular labeling and determines many selection rules in spectroscopy. For diatomic molecules, two symmetry operations are particularly important: reflection and inversion.

Reflection Symmetry

A key geometric operation is reflection (\(\sigma\)) through a plane containing the internuclear axis.

For a wavefunction \(\lvert \Phi \rangle\):

\[ \sigma \lvert \Phi \rangle = \pm \lvert \Phi \rangle, \qquad \text{since } \sigma^2 \lvert \Phi \rangle = \lvert \Phi \rangle. \]

  • Positive symmetry (\(+\)): even under reflection
  • Negative symmetry (\(-\)): odd under reflection

This distinction is physically meaningful only for \(\Sigma\) states, because only in this case is reflection through a plane containing the internuclear axis a valid symmetry operation of the wavefunction.

For states with \(\Lambda > 0\) (e.g., \(\Pi\), \(\Delta\), …), the wavefunction depends on \(\phi\) as \(e^{\pm i\Lambda\phi}\). A reflection through a plane containing the internuclear axis transforms these two components into one another:

\[ e^{-i\Lambda\phi} \;\longleftrightarrow\; e^{+i\Lambda\phi}. \]

Because this reflection mixes the two degenerate components, it is not a symmetry operation with a definite sign. Hence, the “\(+\)” or “\(-\)” labels are not defined for \(\Lambda > 0\).

A single electron in a \(\Sigma\) orbital is always symmetric under reflection through any plane containing the molecular axis. However, when multiple electrons are present, the total wavefunction can be antisymmetric under reflection even though the individual angular momentum components cancel to give \(\Lambda = 0\) (a \(\Sigma\) state).

How \(\Sigma^-\) States Arise

Consider two electrons in degenerate \(\pi\) orbitals (e.g., \(\pi_x\) and \(\pi_y\)) with triplet spin:

Since the triplet spin function is symmetric under electron exchange, the Pauli principle requires the spatial wavefunction to be antisymmetric:

\[\Phi_{\text{spatial}} = \frac{1}{\sqrt{2}}[\pi_x(1)\pi_y(2) - \pi_y(1)\pi_x(2)]\]

Under reflection through the \(xz\)-plane (containing the molecular axis):
- \(\pi_x\) is symmetric: \(\sigma(\pi_x) = +\pi_x\)
- \(\pi_y\) is antisymmetric: \(\sigma(\pi_y) = -\pi_y\)

Therefore: \[\sigma \Phi_{\text{spatial}} = \frac{1}{\sqrt{2}}[\pi_x(1)(-\pi_y(2)) - (-\pi_y(1))\pi_x(2)] = -\Phi_{\text{spatial}}\]

The wavefunction changes sign under reflection, yielding a \({}^3\Sigma^-\) state.

The ground state of O\(_2\) has configuration \((\pi_g^*)^2\) with two electrons in antibonding \(\pi\) orbitals. Since one \(\pi_g^*\) orbital is symmetric and the other antisymmetric under reflection through a plane containing the nuclei, the triplet state is \({}^3\Sigma_g^-\).

WarningNotation Caveat

The symbol \(\Sigma\) appears in several contexts:
- \(\Sigma\) (uppercase Greek sigma) refers to molecular states with \(\Lambda = 0\)
- \(\sigma\) (lowercase sigma) is often used for atomic orbitals aligned along the molecular axis (e.g., \(1s\sigma_g\))
- \(\sigma\) is also used for the spin projection quantum number (\(S_z = \sigma\hbar\))

These usages are historical and can be confusing. The meaning must always be inferred from context.


Parity and Homonuclear Molecules

Parity is a good quantum number only for homonuclear diatomic molecules (\(Z_A = Z_B\)). It describes how the electronic wavefunction behaves under inversion through the molecular center:

  • Even paritygerade (g): the wavefunction remains unchanged under inversion.

  • Odd parityungerade (u): the wavefunction changes sign under inversion.

These labels (g and u) are essential for describing selection rules and distinguishing bonding/antibonding states in molecules such as H\(_2\), O\(_2\), or N\(_2\).


3.3 Angular Momentum in Diatomic Molecules

In diatomic systems, angular momenta are best described relative to the internuclear axis, which defines a natural \(z\)-axis.

Orbital and Spin Angular Momenta

Each electron possesses:
- Orbital angular momentum \(\vec{\ell}_i\)
- Spin angular momentum \(\vec{s}_i\)

Their projections on the molecular axis are quantized as

\[ \ell_{z,i} = m_{\ell_i} \hbar, \qquad s_{z,i} = m_{s_i} \hbar. \]

We define

\[ \lambda_i = |m_{\ell_i}|, \qquad \sigma_i = m_{s_i}. \]

The total projections for all electrons are

\[ L_z = \Lambda \hbar = \sum_i m_{\ell_i} \hbar, \qquad S_z = \Sigma \hbar = \sum_i m_{s_i} \hbar. \]

Here:
- \(\Lambda\) describes the projection of total orbital angular momentum \(\vec{L}\) on the internuclear axis,
- \(\Sigma\) describes the projection of total spin \(\vec{S}\) on the same axis.


Total Angular Momentum and Molecular Term Symbols

The total electronic angular momentum is the vector sum

\[ \vec{J} = \vec{L} + \vec{S}, \]

with projection

\[ J_z = \Omega \hbar, \qquad \Omega = \Lambda + \Sigma. \]

\(\Omega\) is the molecular analogue of \(M_J\) in atomic systems. In most light molecules, LS coupling (or Russell–Saunders coupling) provides a good approximation, where \(\vec{L}\) and \(\vec{S}\) couple first to form \(\vec{J}\).


Molecular Term Symbols

The full label of a diatomic molecular state combines these angular momentum and symmetry properties:

\[ ^{2S+1}\Lambda_{\Omega}^{(\pm)} \text{(g/u)}. \]

Symbol Meaning Notes
\(^{2S+1}\) Spin multiplicity singlet (1), doublet (2), triplet (3), etc.
\(\Lambda\) Projection of \(\vec{L}\) on the molecular axis 0 = \(\Sigma\), 1 = \(\Pi\), 2 = \(\Delta\), 3 = \(\Phi\), …
\(\Omega\) Projection of total \(\vec{J}\) \(\Omega = \Lambda + \Sigma\)
\((\pm)\) Reflection symmetry (only for \(\Sigma\) states) \(\Sigma^+\) = even, \(\Sigma^-\) = odd
(g/u) Inversion symmetry gerade / ungerade (only for homonuclear molecules)

3.4 Molecular Configurations

Electronic configurations of diatomic molecules are often expressed in terms of molecular orbitals (MOs) such as:
\[ 1s\sigma, \quad 2s\sigma, \quad 2p\sigma, \quad 2p\pi, \quad 3s\sigma, \quad 3p\sigma, \quad 3p\pi, \quad 3d\sigma, \quad 3d\pi, \quad 3d\delta, \ldots \]

Notation Convention

The notation [n][atomic orbital][molecular symmetry] (e.g., \(2p\pi\)) can be ambiguous:

  • United atom limit: When the principal quantum number and atomic orbital type are written first, this often refers to the orbital in the united atom limit (\(R \rightarrow 0\)) that the MO correlates to.

  • Dissociated atom limit: A clearer notation specifies the symmetry first, then the atomic orbitals from which the MO is formed:

    • \(\sigma_g(1s)\) = bonding MO from 1s atomic orbitals of separated atoms
    • \(\pi_u(2p)\) = antibonding MO from 2p atomic orbitals of separated atoms

Alternative Approach

It is common to first specify the angular momentum symmetry (\(\sigma\), \(\pi\), \(\delta\), etc.) with parity (\(g\)/\(u\)), and then indicate which dissociated atomic orbitals combine to form the MO:

\[ \sigma_g, \sigma_u, \pi_g, \pi_u, \delta_g, \delta_u, \ldots \]

Each configuration contributes to the formation of a total electronic state, characterized by a specific term symbol and corresponding potential curve \(E_i(R)\).

NoteCorrelation Diagrams

To understand how molecular orbitals evolve from the dissociated atom limit (\(R \rightarrow \infty\)) to the united atom limit (\(R \rightarrow 0\)), correlation diagrams are essential tools. This topic is not covered in these notes, but students interested in a deeper understanding of molecular orbital evolution are encouraged to explore this in molecular spectroscopy textbooks.


3.5 Summary and Examples

The full label of a diatomic molecular state encodes:

\[ \text{Label}\ ^{2S+1}\Lambda_{\Omega}^{(\pm)} \text{(g/u)} \]

capturing:
- Energy ordering
- Spin multiplicity (\(S\))
- Orbital projection (\(\Lambda\))
- Total projection (\(\Omega\))
- Reflection symmetry (±)
- and, for homonuclear molecules, parity (g/u)


Examples

  1. Ground state of H₂:

\[ X\,{}^1\Sigma_g^+ \]

  • X → lowest (ground) state
  • \(^1\) → singlet (\(S = 0\))
  • \(\Sigma\)\(\Lambda = 0\) (no angular momentum about the molecular axis)
  • g → even parity (wavefunction symmetric under inversion)
    • → even under reflection through a plane containing the axis

  1. Excited triplet state of O₂:

\[ a\,{}^3\Sigma_g^- \]

  • \(a\): first triplet excited state
  • \(^3\): triplet (\(S=1\))
  • \(\Sigma\): \(\Lambda=0\)
  • g: gerade parity
  • \(-\): antisymmetric under reflection

This systematic nomenclature connects quantum mechanical structure with spectroscopic observation, allowing each potential curve \(E_i(R)\) to be uniquely identified and compared across different diatomic systems.


Key Takeaways

  • The potential energy curves \(E_i(R)\) describe how the total molecular energy varies with internuclear distance and define the stable configurations and excited states of a molecule.

  • Each curve corresponds to a specific electronic state, characterized by a set of quantum numbers and symmetry labels that capture the essential physics of the system.

  • Diatomic molecular states are identified by the term symbol
    \[ ^{2S+1}\Lambda_\Omega^{(\pm)} \text{(g/u)}, \] which encodes:

    • Spin multiplicity (\(S\)),
    • Orbital angular momentum projection (\(\Lambda\)),
    • Total angular momentum projection (\(\Omega\)),
    • Reflection symmetry (\(\pm\)), and
    • Inversion parity (g/u, for homonuclear molecules).
  • Symmetry operations — reflection through a plane and inversion through the molecular center — determine the allowed forms of molecular wavefunctions and lead to characteristic selection rules in spectroscopy.

  • The LCAO–MO approximation, when extended beyond H\(_2^+\), provides a framework for understanding how electron configurations such as \(1s\sigma\), \(2p\pi\), or \(3d\delta\) contribute to the formation of different states and bonding types.

  • Angular momentum coupling (\(\vec{L} + \vec{S} = \vec{J}\)) explains the fine-structure splitting of electronic states, while the projection quantum numbers (\(\Lambda\), \(\Sigma\), \(\Omega\)) describe how these quantities relate to the internuclear axis.

  • Chemical bonding arises as a continuum between idealized limits:

    • Covalent bonding — equal sharing of electrons,
    • Ionic bonding — complete charge transfer, and
    • Van-der-Waals bonding — partial charge separation.
  • The framework developed here connects quantum-mechanical structure, molecular symmetry, and observable chemical behavior, forming the conceptual bridge between the simple H\(_2^+\) model and real molecular systems.